Opgeladen: 10-9-2025
Opgeborgen in: Ongewone en nauwelijks onderzochte methoden die de spiergroei versnellen (als je geluk hebt), Krachttraining & voeding, Hydratie
Translation: Drinking Hydrogen Rich Water helps you squeeze more reps out of your sets (11-9-2025)

Drink Hydrogen Rich Water en pers meer reps uit je sets

Op sociale media zijn sommige influencers laaiend enthousiast over Hydrogen Rich Water. Sporters die het spul geregeld drinken zouden langer en intensiever kunnen trainen. Klinkt als een verkoopverhaal, natuurlijk. Maar volgens een kleine humane trial uit China zou het nog wel eens kunnen kloppen.


Drink Hydrogen Rich Water en pers meer reps uit je sets


Studie
Onderzoekers van Chongqing Normal University publiceerden in de herfst van 2024 een kleine humane studie in Frontiers in Physiology, waaraan 18 jonge mannelijke studenten meewerkten als proefpersoon. De studenten trainden al geruime tijd met gewichten.

De onderzoekers lieten de studenten bij twee verschillende gelegenheden 6 sets squatten to failure met 70 procent van het gewicht waarmee de studenten nog net 1 rep konden maken. Tussen de sets rustten de studenten 5 minuten.

De ene keer dronken de studenten gedurende de week die aan de sessie vooraf ging elke dag 2 liter water. Op de dag zelf dronken de studenten hun water voor, tijdens en na hun training.

Bij een andere gelegenheid dronken de studenten geen gewoon water, maar Hydrogen Rich Water [HRW]. De onderzoekers maakten hun HRW zelf met een machine. Dagelijks consumeerden de studenten iets meer dan 3 milligram waterstofgas.


Drink Hydrogen Rich Water en pers meer reps uit je sets


HRW
HRW ontstaat als door een chemische reactie of elektriciteit water splitst in zuurstof en waterstof. Het waterstof blijft daarna nog enkele minuten in dat water aanwezig. Drink je dat water op, dan remt het waterstof hydroxylradicalen - maar niet nuttige andere radicaalmoleculen, zoals NO. [Nat Med. 2007 Jun;13(6):688-94.]

Na het drinken van HRW circuleert het opgeloste waterstof volgens Japans onderzoek nog een uur in het lichaam. [Adv Exp Med Biol. 2012:737:245-50.] In dat uur ademen mensen ongeveer zestig procent van dat waterstofgas uit. Het lichaam gebruikt de overige veertig procent om agressieve stoffen te neutraliseren.

Resultaten
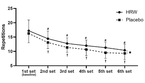
Als de studenten HRW hadden gedronken, waren ze in staat 11 procent meer reps te maken. In plaats van 12 reps per set, maakten ze 13 reps. Bovendien stelde HRW de studenten in staat om sneller te bewegen. Hun power nam toe.

Klik op de tabel onder de figuur voor een grotere versie.


Drink Hydrogen Rich Water en pers meer reps uit je sets


Drink Hydrogen Rich Water en pers meer reps uit je sets


Conclusie
"Intake of Hydrogen Rich Water [...] could significantly enhance muscular endurance performance in trained individuals, making it a promising strategy for athletes or fitness enthusiasts seeking to improve muscular endurance during resistance training or competitions", schrijven de onderzoekers.

"Based on our findings, Hydrogen Rich Water administration is usually recommended before and during muscular endurance training."

"Future randomized controlled trials with rigorous designs are needed to help obtain more definitive conclusions on the long-term effects of Hydrogen Rich Water on muscular function performance."

Bron:
Front Physiol. 2024 Oct 7:15:1458882.

Meer:
Krillolie reduceert spierverlies tijdens strikt dieet (bijna) tot nul (5-9-2025)
Ecdysteron en diosgenine versterken elkaars anabole werking (1-9-2025)
De spierpruim | De onvermoede anabole werking van pruimen (2-4-2025)
Overtraind? Honing beschermt je spieren (20-3-2025)
Monolaurine voor bodybuilders (17-3-2025)
Ook de spieren van bodybuilders worden sterker door urolithine-A (28-1-2025)


Ook als je jong bent is trigonelline een natuurlijk anabolicum Meer spieren, minder vet door knoflook Glyoxylzuur, een metaboliet van glycine die spieren laat groeien

Ook als je jong bent is trigonelline een natuurlijk anabolicum
We vonden een al wat ouder patent waarin trigonelline ook in jonge proefdieren anabole processen versterkte en katabole processen afremde.

Meer spieren, minder vet door knoflook
Volgens deze studie bouwen mensen spiermassa op en verliezen ze een kilo lichaamsvet als ze dagelijks 4 capsules met knoflookpoeder innemen - zonder dat ze hun manier leven veranderen.

Glyoxylzuur, een metaboliet van glycine die spieren laat groeien
Volgens Japans in vitro-onderzoek heeft glyoxylzuur een anabole en een antikatabole werking.