Opgeladen: 1-9-2025
Opgeborgen in: Ongewone anabole middelen waarvan je nog maar moet afwachten of ze werken, Ecdysteroïden, Plantaardige steroïden, Plantenextracten
Translation: Ecdysterone and diosgenin enhance each other's anabolic effect (2-9-2025)

Ecdysteron en diosgenine versterken elkaars anabole werking

Twee weken geleden schreven we over een waardeloos supplement dat spiergroei zou moeten versnellen en zowel ecdysteron als diosgenine zou bevatten. Omdat de fabrikant maar een fractie van de stoffen in zijn capsules had gestopt die op het label stonden vermeld, werkte het ding voor geen micrometer. Maar het idee om ecdysteron en diosgenine in een supplement voor bodybuilders te combineren is helemaal niet zo slecht.


Ecdysteron en diosgenine versterken elkaars anabole werking


Studie
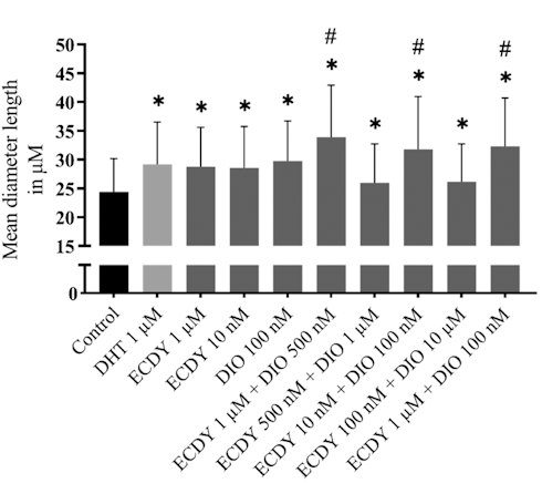
Moleculaire onderzoekers van de German Sport University Cologne stelden in vitro jonge spiercellen bloot aan DHT, verschillende concentraties ecdysteron en diosgenine - en ook aan verschillende concentraties van de combinatie van ecdysteron en diosgenine.

Vervolgens keken ze naar het effect van de stoffen op het vermogen van de spiercellen om spiervezels te vormen.

Ecdysteron is een ecdysteroid in spinazie. Vooral in biologisch geteelde spinazie kan veel ecdysteron zitten. Diosgenine is een spirostan in wilde yams en de zaden van de fenegriek. [Front Nutr. 2024 Feb 2:11:1280100.] Ecdysteron en diosgenine zouden de vermeende anabole eigenschappen van spinazie en fenegriek kunnen verklaren.


Ecdysteron en diosgenine versterken elkaars anabole werking


Resultaten
De onderzoekers beschouwden de diameter van de gevormde spiervezels als een merker voor anabole eigenschappen. Ze zagen dat de combinatie van 10 nanomol ecdysteron en 100 nanomol diosgenine de spiercellen een krachtiger anabole prikkel gaf dan de stoffen afzonderlijk. De groeiprikkel van de combinatie overtrof zelfs die van 1 micromol DHT.

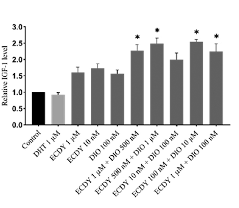
De combinatie van diosgenine en ecdysteron zorgde, net als DHT, voor een significante verhoging van de activiteit van het gen dat in spiercellen codeert voor IGF-1.


Ecdysteron en diosgenine versterken elkaars anabole werking

Ecdysteron en diosgenine versterken elkaars anabole werking


Mechanisme
De onderzoekers vermoeden op basis van ander in vitro-onderzoek [Mol Nutr Food Res. 2014 Sep;58(9):1861-72.] dat de anabole werking van ecdysteron het gevolg is van prikkeling van de bèta-receptor voor estradiol. Dat is dus niet de receptor die de klassieke effecten van estradiol veroorzaakt.

De Duitsers herhaalden hun proeven en stelden hun spiercellen toen ook bloot aan een antiandrogeen. Toen verdween de anabole werking van diosgenine. Dat betekent dat diosgenine via de androgeenreceptor spiercellen prikkelt. Omdat diosgenine geen klassieke androgene effecten heeft, denken de onderzoekers dat diosgenine een natuurlijke SARM is.

Doseringen
Inname van pak-hem-beet 30 milligram ecdysteron tilt de concentratie ecdysteron in het bloed naar het niveau van 10 nanomol. [Arch Toxicol. 2019 Jul;93(7):1807-16.] Omdat ecdysteron snel uit het bloed verdwijnt, zou je dagelijks 2 doses moeten innemen. Ecdysteron is wateroplosbaar, redelijk bestand tegen maagzuur en heeft dus geen speciale formulering nodig.

Diosgenine is vetoplosbaar. Dat zou je dus eigenlijk moeten oplossen in olie. Diosgenine is bovendien kwetsbaar voor maagzuur. Je zou het dus ook moeten insluiten in gelcaps om het intact door de maag te loodsen. Na opname door de dunne darm, breekt diosgenine minder snel af dan ecdysteron.

Over de precieze dosering durven we niets te zeggen. We hebben geen geschikt onderzoek kunnen vinden. Maar met 200 milligram diosgenine, opgelost in olijfolie en ingesloten in een goede gelcap, zou je toch een eind moeten kunnen komen.

In die capsule zou je ook ecdysteron kunnen stoppen. Mits ingenomen bij een maaltijd, neemt het lichaam beide stoffen waarschijnlijk goed op.

Bron:
Toxicol Lett. 2024 Nov:401:181-9.

Meer:
Bio103 heeft meer anabole werking dan ecdysteron (6-9-2019)
Suppletie met ecdysterone zorgt voor 2 kilo spieren extra in 10 weken (29-5-2019)
Gemodificeerde ecdysteroïden met meer anabole werking (27-11-2018)
Anabole werking ecdysterone sterk genoeg voor dopingclassificatie (12-7-2014)
Ecdysteroïden bevorderen spieropbouw in lage doses (1-3-2010)


Trigonelline houdt je fit en sterk als de jaren klimmen Ook de spieren van bodybuilders worden sterker door urolithine-A Een anabool suiker in melk | 6-Sialyllactose

Trigonelline houdt je fit en sterk als de jaren klimmen
Als je al wat ouder bent maar toch sterk en fit wilt blijven, is alles wat de concentratie NAD+ in je cellen verhoogt interessant.

Ook de spieren van bodybuilders worden sterker door urolithine-A
Een jaar geleden schreven we dat suppletie met urolithine-A, een stof die ontstaat als de microflora in de darm ellagitannines in fruit in stukjes knipt, in niet-actieve mensen spieren sterker maakt.

Een anabool suiker in melk | 6-Sialyllactose
In melk zit een suiker - eigenlijk moet je zeggen: een oligosacharide - dat spieren sterker en groter maakt. Dierstudie.