Opgeladen: 21-8-2025
Opgeborgen in: Testuitslagen, Ecdysteroïden, Plantaardige steroïden, Plantenextracten
Translation: Why you'll notice absolutely nothing when using Weider Beta Ecdysterone (22-8-2025)

Waarom je niks merkt als je Weider Beta Ecdysterone gebruikt

Vier jaar geleden schreven we een kritisch webbericht over de belabberde kwaliteit van supplementen die voldoende ecdysteron zouden moeten bevatten om de spiergroei van sporters te versnellen. In dat artikel waren we toch nog positief over Weider Beta Ecdysterone, dat opmerkelijk goed uit de analyses kwam. En daarvan hebben we nu spijt als haren op ons hoofd.


Waarom je noppes-niks-nada merkt als je Weider Beta Ecdysterone gebruikt


Studie
Verstandiger bloggers dan wij hadden natuurlijk nooit-maar-dan-ook-nooit iets positiefs geschreven over een creatie van grote producent van supplementen als Weider. Grote bedrijven hebben maar één doel - en dat is zichzelf verrijken. Als ze dat doen door iets nuttigs te maken, dan is dat toeval.

Maar goed, wij zijn onnozelaars. Toen we in 2021 iets positiefs over Weider Beta Ecdysterone lazen, schreven we dat braaf op. En nadat we de studie lazen die Joshua Dissemond van de IST University of Applied Sciences in Duitsland heeft gepubliceerd in de Journal of the International Society of Sports Nutrition, zouden we willen dat we dat niet hadden gedaan.

Dissemond liet 24 ervaren mannelijke krachtsporters gedurende 12 weken volgens hetzelfde schema trainen. De ene helft kreeg daarbij een placebo, de andere helft gebruikte Weider Beta Ecdysterone.

Resultaten
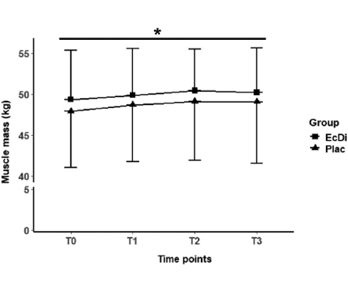
Het effect van het supplement was nul komma noppes nada niks. De onderstaande figuren hebben betrekking op het maximale gewicht waarmee de proefpersonen nog net 1 rep konden bankdrukken en hun spiermassa, maar ook op andere parameters had het supplement geen flintertje effect.


Waarom je noppes-niks-nada merkt als je Weider Beta Ecdysterone gebruikt

Waarom je noppes-niks-nada merkt als je Weider Beta Ecdysterone gebruikt


Toen Dissemond de inhoud van Weider Beta Ecdysterone analyseerde, werd al snel duidelijk waarom het supplement niets toevoegde. In het supplement zat 0.025% procent van de hoeveelheid ecdysteron die het label vermeldde. Het was dus zwaar ondergedoseerd.

Behalve ecdysteron bevatte het supplement ook diosgenine. Het label vermeldde 50 milligram, maar de onderzoekers vonden nog geen 16 milligram.

In de tabel hieronder zie je de uitkomsten van een analyse van een oudere batch uit 2018 - waarover wij, sukkels die we zijn, in 2021 de loftrompet staken. Je ziet ook de uitkomsten van een analyse van een recentere batch die is gebruikt in de teleurstellende studie die we zojuist bespraken.


Waarom je noppes-niks-nada merkt als je Weider Beta Ecdysterone gebruikt


Combinatie
Voor het combineren van diosgenine met ecdysteron in een supplement dat spiergroei moet versnellen is misschien nog wel iets te zeggen. Maar daarover hebben we het wel een andere keer.

Bron:
J Int Soc Sports Nutr. 2025 Dec;22(1):2540408.

Meer:
Bio103 heeft meer anabole werking dan ecdysteron (6-9-2019)
Suppletie met ecdysterone zorgt voor 2 kilo spieren extra in 10 weken (29-5-2019)
Gemodificeerde ecdysteroïden met meer anabole werking (27-11-2018)
Anabole werking ecdysterone sterk genoeg voor dopingclassificatie (12-7-2014)
Ecdysteroïden bevorderen spieropbouw in lage doses (1-3-2010)


Veel supplementen met cannabidiol ondergedoseerd Rampzalige uitkomsten: 4 supplementen met 5-alpha-hydroxy-laxogenine getest Van elke 10 supplementen met vlierbes deugt er eentje niet

Veel supplementen met cannabidiol ondergedoseerd
Vooral de makers van liquid vaporized-supplementen maken er een potje van.

Rampzalige uitkomsten: 4 supplementen met 5-alpha-hydroxy-laxogenine getest
Er is met veel, heel veel supplementen met 5-alpha-hydroxy-laxogenine echt iets aan de hand.

Van elke 10 supplementen met vlierbes deugt er eentje niet
Als de verkoop van vlierbes explodeert, kun je verwachten dat geldwolven zonder scrupules de handel in vlierbessen interessant gaan vinden...